Vector Network Analyzer Measurement Guide : Formulas
 
Formulas
Vector Network Analyzer Formulas
The following formulas can be used with the Vector Network Analyzer (VNA Master and LMR Master).
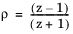
Reflection Coefficient
Reflection coefficient is the ratio of the amplitude of the reflected wave to the amplitude of incident wave.
Return Loss
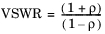
VSWR
Smith Chart
Inverted Smith Chart
Electrical Length
The length of the cable as seen by the electrical signal. The electrical length is always greater than 1 for practical dielectric materials.
Propagation
Propagation is the propagation velocity expressed as a ratio to the speed of light.
Cable Loss
Fault Resolution
Fault resolution (in the distance domain) is the ability of the system to separate two closely‑spaced discontinuities. Calculations for distance utilize the speed of light (c), which is 2.99792458 ×108 meters per second (for light in vacuum). F is frequency (in Hertz).
Maximum Horizontal Distance
Dmax is the maximum horizontal distance that can be analyzed in DTF.
 
Suggested Span
Suggested Span is the span needed to get Max Distance to equal Stop Distance.